Contoh Soal Matematika Kelas 10

Contoh Soal Matematika Kelas 10. Sebelum anda mempelajari contoh soal berikut ini, alangkah baiknya anda mempelajari konsep tentang hubungan antara sudut pusat, panjang bu. Materi yang diujikan adalah: Konsep Bunga.

Rekomendasi Kumpulan Soal Matematika Kelas 10 Semester 1 ...
Rekomendasi Kumpulan Soal Matematika Kelas 10 Semester 1 ... (Kenneth Park)
Topik : Sistem Persamaan Linier Kuadrat Dua Variabel (SPLKDV). Diketahui : Maka nilai c adalah sebagai berikut Belajar Matematika memang enggak ada habisnya, ya! Buku yang ada di Edutore sama dengan yang ada di Toko Buku Gramedia.

Vektor adalah besaran yang mempunyai besar/nilai dan arah.

Beberapa contoh model pembelajaran yang menganut paham konstruktivistik dan relevan dengan karakteristik matematika serta tujuan pembelajarannya d antaranya adalah: - model pembelajaran berbasis masalah.

20 Soal Soal Vektor

Contoh Soal Vektor Matematika Peminatan Kelas 10 Semester ...

Contoh Soal Matematika Kelas 10 Tentang Logaritma ...

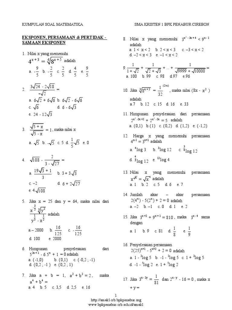
65. Modul Matematika - Kumpulan Soal Akhir Kelas X XI XII

Matematika Kelas 9 :: 100INSTITUTE

Pembahasan Soal Matematika Peminatan Sma Kelas 10 Persamaan

Contoh Soal Matematika Kelas 10 Semester 2 dan Jawabannya ...

Contoh Soal Pertidaksamaan Eksponen Kelas 10 - Berbagi ...

Soal Matematika Sma Kelas X Semester I

Topik : Sistem Persamaan Linier Kuadrat Dua Variabel (SPLKDV). Kamu dapat mengakses banyak contoh Soal matematika SMA. Buku yang ada di Edutore sama dengan yang ada di Toko Buku Gramedia.

Posting Komentar

0 Komentar